Kategori
Rev
Beskrivning
Harriet vill ta sig hem till sin egen tid igen, men den ena skärm-modulen på hennes PowerGloveTM gick sönder när hon spillde vaniljkrämen över den.
Det gör det väldigt svårt att klara det CAPTCHA som krävs för att använda handsken… Lyckligtvis är hennes man, Harald, väldigt miljömedveten och har installerat en energimätare i handsken. Kanske går det att se, i loggarna från energimätaren, vilken CAPTCHA-fras som har räknats fram?
Lösning
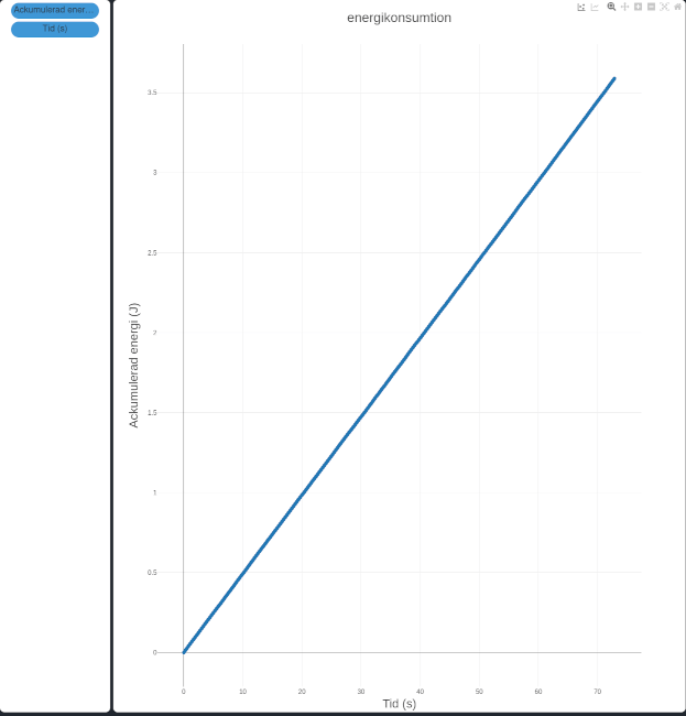
Det man får till denna utmaningen är en CSV-fil innehållande den ackumulerade energikonsumtionen.

Tittar man istället på delta-värdena över tid så ser det ut som följande:

Konverterar vi detta till binärt, där nedåtgående är 0 och uppåtgående är 1, och sedan konverterar detta till ASCII så får vi flaggan.
Flagga: undut{S1mple_P0w3r_Analys1s_ar_skoj}